一、PPO簡介
PPO材料的化學名:聚2,6-二甲基-1,4-苯醚,英文名稱:PPO(Polyphenylene Oxide)或PPE(Polypheylene ether)。市場上通用的主要為改性聚苯醚(MPPO或MPPE),一般加入PS或PA,以改善加工性能等其他性能。改性聚苯醚由于綜合性能好、品級多樣成為五大工程塑料之一。

(分子式)
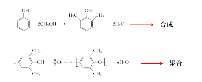
二、PPO合成
PPO合成主要分為單體2,6-二甲基苯酚的合成及聚合兩個部分。
三、PPO性能特點
四、PPO電性能
PPO分子結構中無極性高的基團,不產生偶極分極,電性能十分穩定,在廣闊的溫度及頻率范圍內保持優異的電性能。
五、PPO耐化學品性能
PPO具有優異的耐水性,對于以水為介質的化學藥品,如酸、堿、鹽溶液和洗滌劑等,不管是室溫還是受熱情況下,一般不受影響。

六、PPO吸水率&密度
PPO吸水率底、密度底,優勢明顯。
七、PPO與其他工程材料對比

七、SELON改性PPO介紹
(SELON改性PP0/PS合成,耐熱PPO、增強PPO以及各種阻燃PPO材料)
(SELON改性PPO/PA產品,高抗沖PPO、增強PPO、阻燃PPO以及導電PPO)